我所在东北黑土农田细菌群落结构地理分布及其驱动因素研究上取得新进展
动植物在陆地生态系统中存在一定的地理分异规律。与动植物相比,对于陆地生态系统中数量巨大、种类多样的土壤微生物而言,是否存在生物地理分布格局及其驱动因素是什么?是目前土壤学和微生物生态学研究的前沿科学问题。已有的研究结果表明,不同生态系统中的土壤微生物受到生物和非生物因素的双重影响,群落结构多样性及群落结构组成存在较大差异。在这些影响因素中土壤pH被普遍认为是制约土壤细菌群落结构变化的主要因素。值得指出的是,多数研究均是基于土壤pH值差异较大的不同原始土壤进行的,而对于同一种土壤类型,土壤pH值变化较小而其它土壤理化性质差异较大时,决定土壤微生物生物地理分布的因素是什么是一个值得探讨的科学问题。
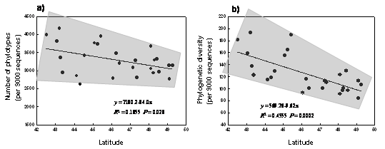
东北黑土是我国重要的土壤资源,在保障国家粮食安全和生态安全上具有重要地位。由于受气候、开垦年限和农田管理措施等的影响,东北黑土农田土壤养分含量,特别是土壤有机质含量呈现规律性的地理分布,即总体呈现南低北高的趋势。但对于黑土土壤微生物是否也存在着地理分布格局?如果存在,其驱动因素是什么?还不清楚。为此,东北地理与农业生态研究所农田分子生态学科组王光华研究员等人,于2012年从东北黑土带上基于土壤有机质含量的差异,南起辽宁昌图北至黑龙江讷河,采集了26个农田土壤样品,采用454高通量测序技术成功地解析了东北黑土细菌群落结构的地理分布规律及其驱动因素。研究共获得35万多条细菌序列,包括至少35个细菌类群,其中酸杆菌门(Acidobacteria)、放线菌门(Actinobacteria)、变形菌门(Proteobacteria)、拟杆菌门(Bacteroidetes)、绿湾菌门(Chloroflexi)、芽单胞菌门(Gemmatimonadetes)和浮霉菌门(Planctomycetes)等7个菌门细菌为黑土农田优势微生物(平均丰度>5%以上)。研究还发现绿湾菌门、芽单胞菌门和浮霉菌门细菌的相对丰度在黑土农田中较以往报道的其它土壤中高出5倍以上。本研究未发现普遍报道的现象,即土壤酸杆菌门丰度与土壤pH值具有显著的相关性,但发现黑土农田中酸杆菌门中亚门1和3与土壤pH成显著负相关,而亚门4、5、6、7和25则与土壤pH成显著正相关关系。研究结果揭示出东北黑土农田细菌群落结构组成、多样性及优势细菌门的相对丰度受土壤pH和土壤有机质含量的双重影响,且土壤pH的作用强度大于土壤有机质(图1)。此外,地理距离也是影响黑土农田细菌群落结构的另一重要因素(图2),黑土农田细菌群落结构组成存在明显的地理分布格局,低纬度低有机质含量的黑土,虽然土壤微生物量小,但高纬度高有机质含量的黑土相比具有更高的土壤细菌多样性(图3)。
该研究得到中科院人才项目和黑龙江省杰出青年科学基金的支持,研究成果发表在Soil Biology & Biochemistry(2014, 70: 113-122)。
|
|
图1 东北黑土农田细菌群落结构的NMDS分析。
图a和c及图b和d是基于unweighted和weighted UniFrac群落分析结果

图2 地理距离及土壤因素对东北黑土农田细菌群落结构组成的变异分割分析

图3 东北黑土农田细菌群落结构多样性随地理纬度的变化趋势
附件下载: