东北地理所在长期作物连作下施肥管理对土壤微生物残体和养分需求影响研究中取得进展
土壤微生物及其分泌的胞外酶是土壤有机质分解和养分循环的关键媒介,其活性与作物产量和土壤有机碳及氮、磷、钾养分的有效性密切相关。氨基糖作为微生物细胞代谢产物经过微生物周而复始的生长-代谢-死亡的循环过程,不断地在土壤中积累,对土壤微生物的长期作用过程具有独特的“记忆效应”,可以评价微生物残体对土壤有机质循环的碳氮调控机制。然而,有关东北黑土区不同作物长期连作施肥下黑土有机质和微生物养分需求变化知之甚少。因此,开展以上相关机制研究,可为认识区域农田生态系统下土壤微生物介导的养分循环及其资源需求状况提供新视角。
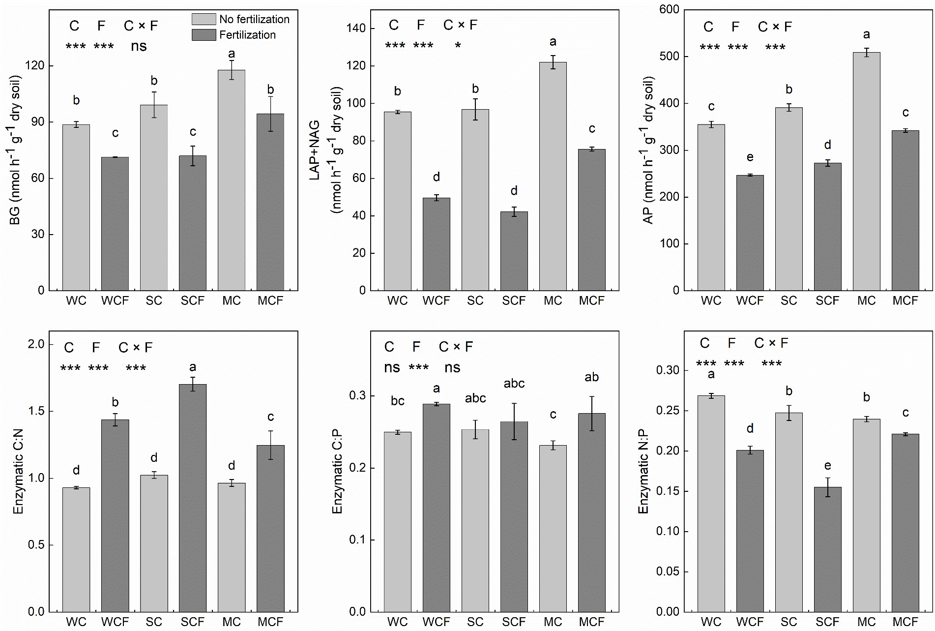
东北地理与农业生态研究所黑土保护与利用学科组,利用2004年布设于黑龙江海伦农田生态系统国家野外科学观测研究站的长期连作定位试验,解析大豆、小麦和玉米连作施肥对土壤丛枝菌根真菌、厌氧菌、好氧菌、微生物养分需求及其代谢残体氨基糖的影响。研究结果显示,与不施肥处理相比,连续12年施用化肥条件下,大豆和小麦连作使土壤氨基糖含量显著降低,有效碳源的缺乏造成氨基糖的大量分解,作为部分碳源维持土壤微生物机体代谢;而玉米连作则表现相反,较高C/N的玉米残体进入土壤后为微生物提供相当数量的碳源,同时化肥的施入满足碳氮元素的平衡供给,加快微生物生长,增强土壤中无机氮素的微生物同化固定,减轻由于长期施用化肥引起的土壤酸化。与不施肥处理相比,长期施用化肥降低了土壤微生物量和酶活性,磷钾肥的过量施用可能是造成土壤微生物C限制的主要因素,微生物的养分需求主要受C和P的制约,而玉米连作可在一定程度上缓解这种限制。与大豆和小麦连作施肥相比,玉米连作处理下AMF和好氧菌生物量较高,表明种植玉米可以促进土壤微生物的营养循环,改善土壤环境。

图1. 长期小麦、大豆和玉米连作施肥条件下土壤酶活性及其生态化学计量比

图2. 施肥和根茬输入量对土壤细菌和真菌生物量及其残体和土壤有机碳含量 的影响

图3. 施肥和根茬输入碳氮比对土壤微生物量、酶化学计量比和养分循环的影响
相关研究成果发表在Journal of the Science of Food and Agriculture和European Journal of Soil Biology上。研究得到中国科学院野外台站联盟项目(KFJ-SW-YW035-4),国家自然科学基金(41771327,41807085),黑龙江省应用技术研究与开发计划(GA19B101,GA19B105)和国家现代农业产业技术体系(CARS-04)联合资助。
论文信息如下: Chen Xu, Han Xiaozeng, Yan Jun, Lu Xinchun, Hao Xiangxiang, Wang Wei, Asim Biswas, Xia Zhu-Barker, Zou Wenxiu*. Land use and mineral fertilization influence soil microbial biomass and residues: A case study of a Chinese Mollisol. European Journal of Soil Biology, 2020, 100: 103216. Chen Xu, Han Xiaozeng, Lu Xinchun, Yan Jun, Asim Biswas, Zou Wenxiu*. Long-term continuous cropping affects ecoenzymatic stoichiometry of microbial nutrient acquisition: a case study from a Chinese Mollisol. Journal of The Science of Food and Agriculture, 2021, 101: 6338–6346.
附件下载: