东北地理所在黑土农田轮作体系中土壤有机质激发效应方面取得进展
在农田生态系统轮作体系中,豆科作物由于更有利于改善土壤肥力、维持土壤健康而被广泛推荐使用。然而,由于豆科作物残体具有较低的碳氮比(C/N),容易被微生物分解利用,可促进土壤有机碳的矿化及激发效应(PE)。目前已有大量研究探究了不同轮作系统对土壤有机碳矿化的影响,但是在轮作系统中豆科作物的种植频率对土壤有机碳的激发效应的影响尚不清晰,亟需进一步明确豆科作物对土壤有机碳动态的影响。
东北地理所土壤物质循环学科组研究人员基于中国科学院海伦农业生态试验站作物长期轮作试验平台,选取小麦和玉米为主的轮作系统,采集具有不同大豆种植频率的土壤样品,利用稳定同位素示踪技术结合室内培养实验,探究了豆科作物参与的不同轮作系统中土壤微生物量和群落结构等对农田黑土有机碳矿化及激发的影响。
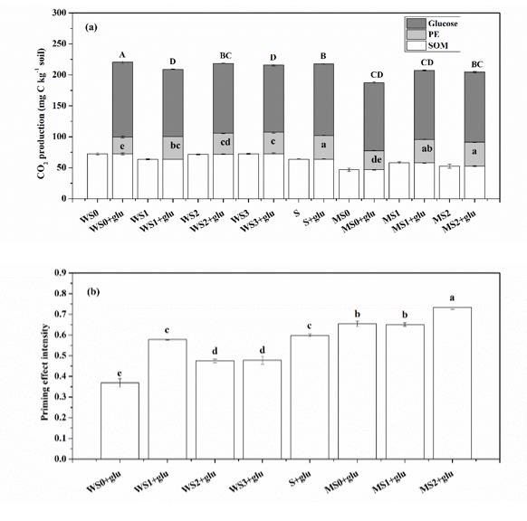
研究表明,在连作系统中,小麦连作土壤具有最高的土壤有机碳矿化速率,其次是大豆连作,玉米连作的土壤有机碳矿化速率最低。与未添加葡萄糖的处理相比,葡萄糖添加分别使小麦和玉米轮作系统中土壤累积碳矿化增加了195%–230%和255%–300%(图1a)。大豆参与的小麦和玉米轮作系统中,葡萄糖添加引起的激发效应分别比小麦和玉米连作增加了27%–38%和22%–26%,但大豆种植频率对小麦和玉米轮作系统中PE的影响不显著(图1)。在小麦和玉米轮作系统中,大豆的参与增加了土壤C/N比及真菌生物量,降低了土壤细菌/真菌的比值,促进了土壤激发效应的强度(图2),但大豆种植频率对土壤有机碳激发效应的影响不显著。研究结果为通过调整豆科作物参与的轮作体系促进土壤碳固定提供了科学依据。

图1 不同小麦和玉米轮作系统中土壤有机碳矿化、激发效应(PE)和葡萄糖分解

图2 土壤碳激发效应强度(PI)与土壤C、N以及微生物性质之间的关系
相关研究成果近期发表在农林科学国际期刊《Plant and Soil》上。土壤物质循环学科组博士研究生戴闪闪为第一作者,李禄军研究员为通讯作者。研究工作得到中国科学院战略性先导科技专项、国家重点研发计划和中国科学院基础前沿科学研究计划项目等联合资助。
论文信息:Shanshan Dai, Peng He, Meng-Yang You, Lu-Jun Li*. The presence of soybean, but not soybean cropping frequency has influence on SOM priming in crop rotation systems. Plant and Soil, 2023, doi: 10.1007/s11104-023-05947-2.
附件下载: